【27考研辅导课程推荐】:27考研集训课程,VIP领学计划,27考研VIP全科定制套餐(公共课VIP+专业课1对1) , 这些课程中都会配有内部讲义以及辅导书和资料,同时会有教研教辅双师模式对大家进行教学以及督学,并配有24小时答疑和模拟测试等,可直接咨询在线客服老师领取大额优惠券。
大连海洋大学2026年全国硕士研究生一志愿考生复试名单
2026-03-26 09:54:14
大连海洋大学
2026年全国硕士研究生
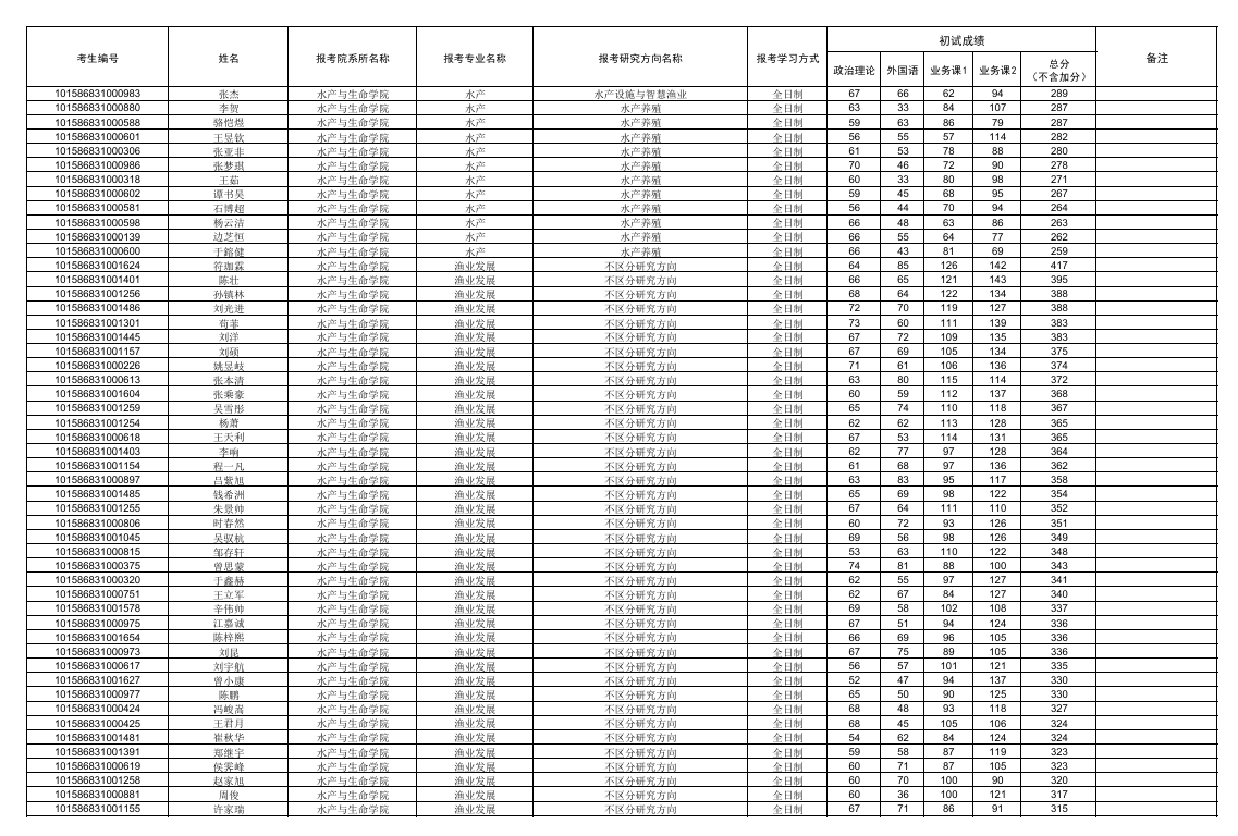
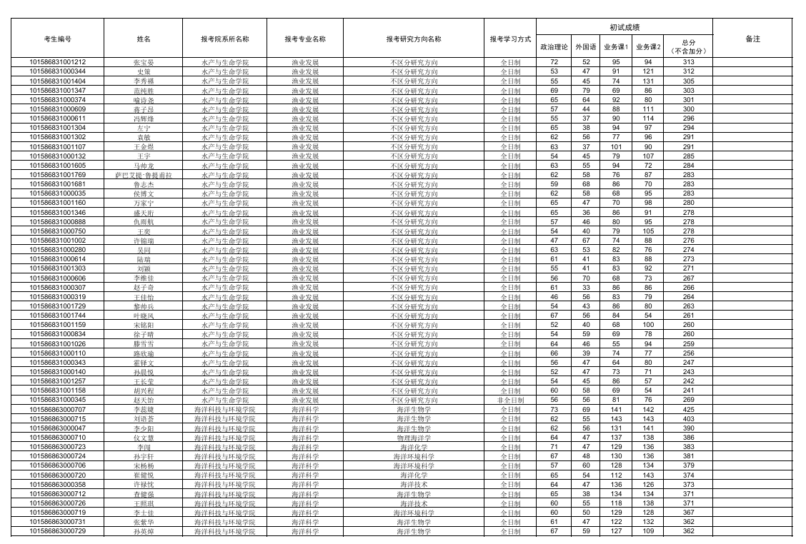
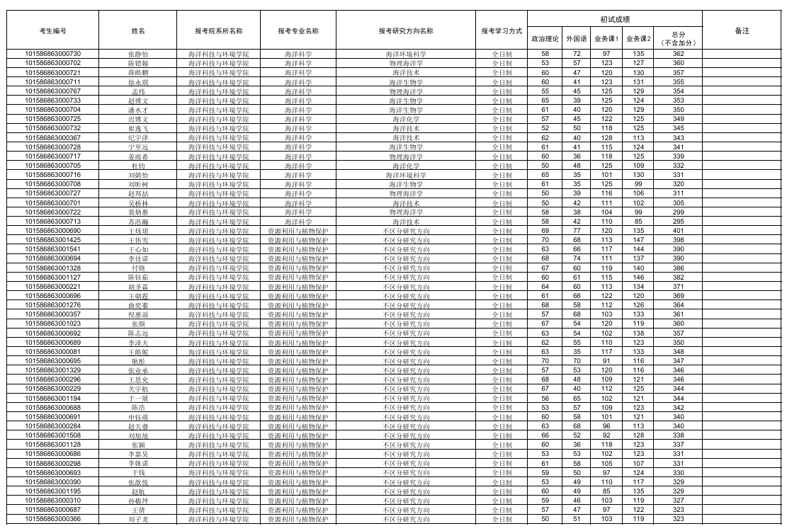
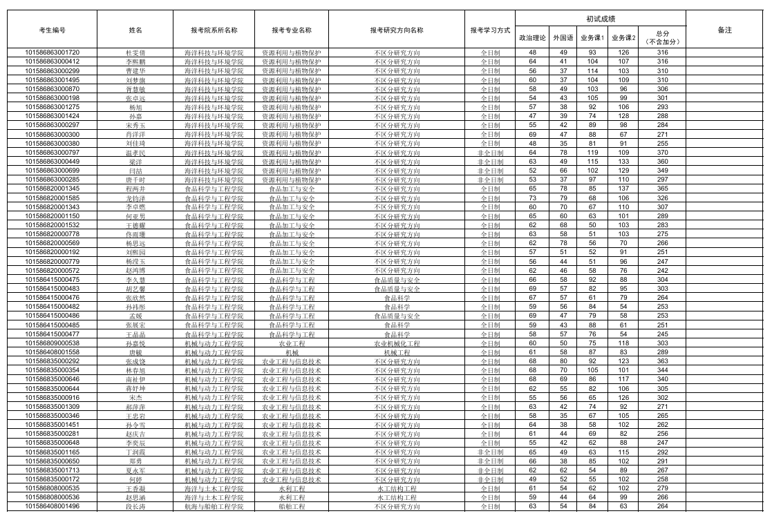
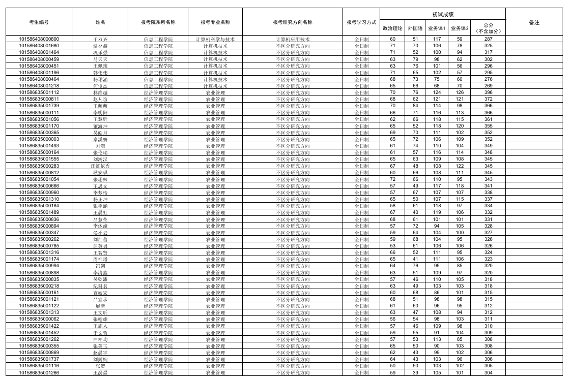
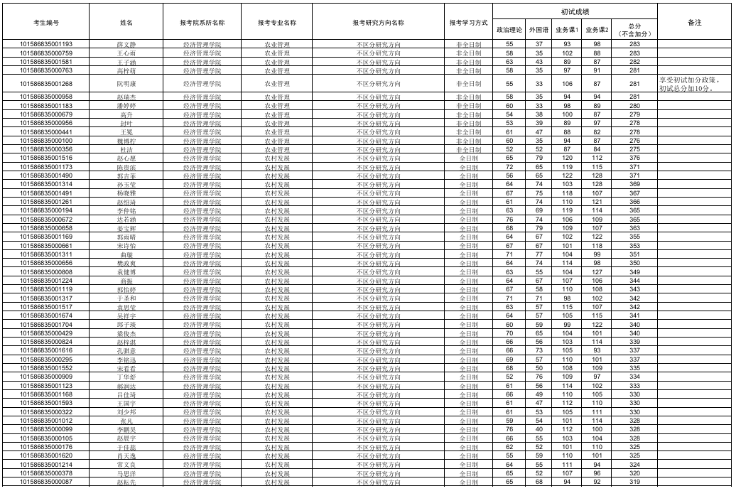
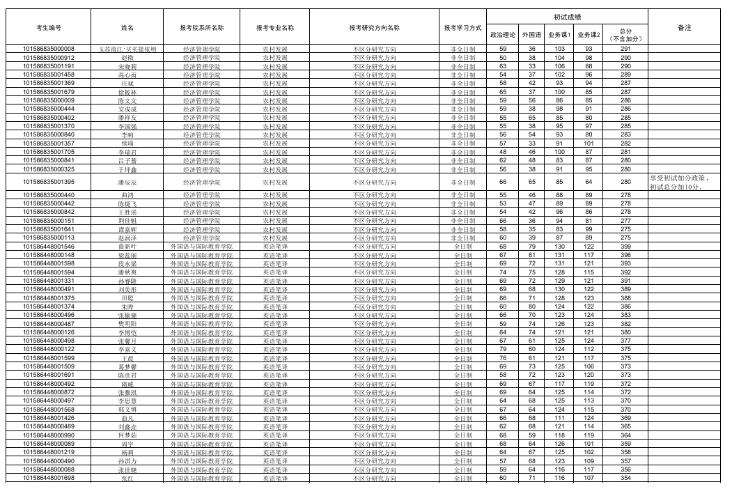
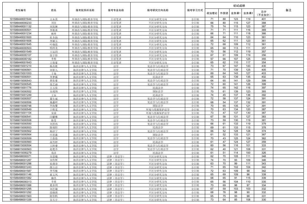
以下是大连海洋大学2026年全国硕士研究生招生一志愿考生的复试名单,大连海洋大学作为考研热门目标院校,想要进入大连海洋大学的考生也不计其数,因此在大连海洋大学每年复试分数线公布之际,难免会牵动着万千报考学子的心弦。复试分数线既是衡量备考成效的核心依据,也是能否叩响大连海洋大学该校研究生校门的关键凭证,承载着数月乃至数年的寒窗付出。
大连海洋大学2026年全国硕士研究生招生一志愿考生复试名单












考研复试分数线为大连海洋大学考研之路划定了阶段性坐标,高分者当整装备战复试,分数未达预期亦不必气馁。人生赛道广阔,拼搏的经历远比一时分数更有分量,愿你坚守初心,在求学路上稳步前行。
查看全文 
【27考研辅导课程推荐】:27考研集训课程,VIP领学计划,27考研VIP全科定制套餐(公共课VIP+专业课1对1) , 这些课程中都会配有内部讲义以及辅导书和资料,同时会有教研教辅双师模式对大家进行教学以及督学,并配有24小时答疑和模拟测试等,可直接咨询在线客服老师领取大额优惠券。
免责声明:本平台部分帖子来源于网络整理,不对事件的真实性负责,具体考研相关内容请以各院校的官网通知为准。如果本站文章侵犯到您的权利,请联系我们(400-108-7500)进行删帖处理。
精选课程
考研资讯
查看更多
考研备考
查看更多
考研指导
每日10 份 抢先预约