【27考研辅导课程推荐】:27考研集训课程,VIP领学计划,27考研VIP全科定制套餐(公共课VIP+专业课1对1) , 这些课程中都会配有内部讲义以及辅导书和资料,同时会有教研教辅双师模式对大家进行教学以及督学,并配有24小时答疑和模拟测试等,可直接咨询在线客服老师领取大额优惠券。
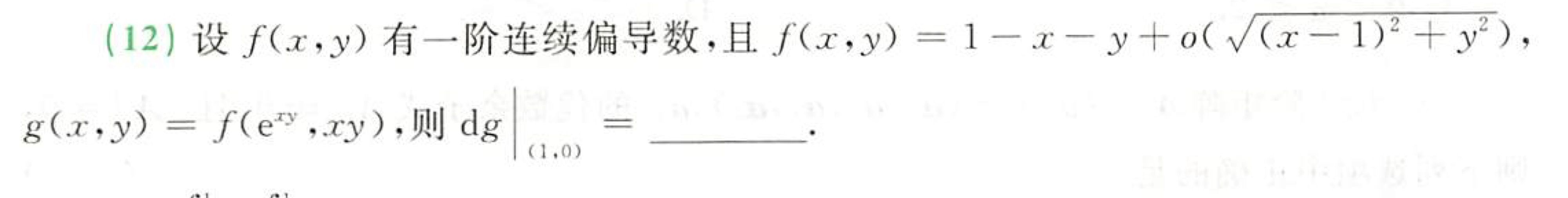
这两个圈起来的不一样在哪里?是数值不一样还是函数不一样?
2022-12-20 16:12:14
这两个圈起来的不一样在哪里?是数值不一样还是函数不一

查看全文 
【27考研辅导课程推荐】:27考研集训课程,VIP领学计划,27考研VIP全科定制套餐(公共课VIP+专业课1对1) , 这些课程中都会配有内部讲义以及辅导书和资料,同时会有教研教辅双师模式对大家进行教学以及督学,并配有24小时答疑和模拟测试等,可直接咨询在线客服老师领取大额优惠券。
免责声明:本平台部分帖子来源于网络整理,不对事件的真实性负责,具体考研相关内容请以各院校的官网通知为准。如果本站文章侵犯到您的权利,请联系我们(400-108-7500)进行删帖处理。
精选课程
考研资讯
查看更多
考研备考
查看更多
考研指导
每日10 份 抢先预约